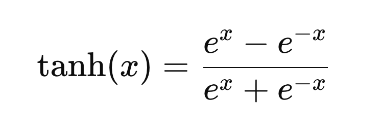
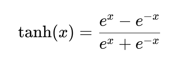
Tanh
Essential AI Math Excel Blueprints
The Tanh activation function takes any number and smoothly squeezes it into a range between –1 and 1. It keeps the signal centered around zero, which helps the network learn more efficiently, especially in deeper layers. Like a gentle S‑shaped curve, it allows strong signals to pass through while taming extreme values, making it a popular choice when you want both positive and negative activity in the model.
In comparison, the sigmoid activation function σ(x) squeezes a value into a range between 0 and 1. It also has an S-shaped curve, but it’s centered at y = 0.5, and its most active transition occurs roughly in the x-range of –6 to 6, wider than that of tanh.
Excel Blueprint
This Excel Blueprint is available to AI by Hand Academy members. You can become a member via a paid Substack subscription.





