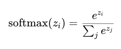
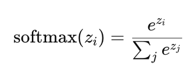
Softmax
Essential AI Math Excel Blueprints
I’m starting a new series that breaks down essential math topics for AI into interactive Excel Blueprints. I’m experimenting with this new content format. Over time, this series will grow into a sizable library.
The first issue focuses on Softmax.
Softmax turns a set of raw scores (z) into a probability distribution (Y) over choices (a,b,c,d,e). Instead of just saying which option is best, it tells us how likely each option is to be chosen. In this example, most of the probability mass is concentrated on c, while the other options are still possible but clearly less likely. That’s the point of softmax: it converts relative scores into meaningful, comparable probabilities that sum to 100%.
Excel Blueprint
This Excel Blueprint is available to AI by Hand Academy members. You can become a member via a paid Substack subscription.




